Skriv inn din e-post
Produkter
Finn blant alle våre produkter
Andre måter å finne på
Andre måter å finne på
Andre måter å finne på
Andre måter å finne på
Andre måter å finne på
Andre måter å finne på
Andre måter å finne på
Andre måter å finne på
Andre måter å finne på
Andre måter å finne på
Du vet sikkert at typen radiosignaler (2,4 og 5GHz) og den effekten som WiFi har lov til å bruke, mangler evnen til å trenge gjennom kompakt materiale som store fjell eller hele skoger. Signalene spretter heller ikke mot atmosfæren som en måte å overkomme hindrende objekter på, og krever derfor klar siktlinje mellom tilgangspunktene. Men dette er egentlig ikke alt du trenger å holde styr på når du installerer WiFi-koblinger over litt lengre avstander.
"Fri sikt" er lett å forstå og visualisere. Du ser fra ett punkt til det andre tiltenkte punktet og konstaterer at du ser det. På fagspråket har du nå "Line Of Sight" eller "LOS" som forkortelsen lyder og bør kunne stole på at maksimal overføringskapasitet er garantert. Men det kan du ikke.
Den franske 1800-talls fysikeren Augustin-Jean Fresnel ga navnet sitt til den usynlige sfæren av soner som påvirker alle radiosignaler, som vi her sammenligner med et luftskip mellom tilgangspunkter. Disse sonene danner grensene for når refleksjoner påvirker radiotrafikken og dermed båndbredden og hastigheten du opplever mellom nettene.
Det holder med andre ord ikke med fri sikt alene. Hvis du vil få maksimal kapasitet ut av en radiokobling, må du også ta hensyn til "Fresnel-sonene". Som du kan se av illustrasjonene, vokser eller krymper de med avstanden mellom tilgangspunktene, så dette krever litt research. Takk og lov for at du ikke trenger å sette deg inn i:

Du kan i stedet glede deg over at noen andre allerede har gjort jobben for deg ved å gi deg denne kalkulatoren https://www.everythingrf.com/rf-calculators/fresnel-zone-calculator
Som du ser er "sonen" tykkest i midten, og hvis du vil optimalisere forholdene for en WiFi-kobling, må du sørge for at hele sonen er fri for hindringer, ikke bare at du har en klar siktlinje mellom antennene.

Fresnel-sonen består faktisk av et nesten uendelig antall undersoner. Men forenklet snakker vi om 3stk.

Teoretisk sett er det et uendelig antall Fresnel-soner, men det er bare de som er nærmest LOS (Line Of Sight) som vi må ta hensyn til når vi bygger et WiFi-anlegg. Den første sonen ligger nær LOS (Line Of Sight) og har størst innvirkning på koblingen, den andre er litt mindre, men ulogisk har den tredje større innvirkning enn den andre. La oss se om vi kan gjøre det litt forståelig.
Hver sone innebærer en halv bølgelengdeforsinkelse, noe som fører til at sprettende signaler i sone 2 havner på en negativ bølgelengde, slik at den fjerner den positive bølgelengden til sonen i LOS. I sone 3 har vi en brytning på 0,5 + 0,5 = 1 bølgelengde, noe som betyr at sonen i LOS og sone 2 er i fase, noe som igjen betyr at signalet faktisk forsterkes. Som du kanskje forestiller deg, er sone 1 sonen som er viktigst og der de fleste dataene ligger. En tommelfingerregel er at den må være 80% fri for hindringer, du kan komme ned til 60% muligens, men så begynner du å få problemer med kvaliteten på koblingen.
Nå er ideen ikke at vi skal gå i dybden angående radiobølger, men det du trenger å vite er at radiobølger telles av antall svingninger. Jo flere svingninger, jo smalere blir bølgen. Dette påvirker også Fresnel. La oss ta et eksempel.
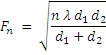
Hvor stor Fresnel-sonen vil være beregnes med radius, da du vanligvis ikke har noe som forstyrrer øverst, bare nederst. Man regner fra Line of Sight (midten) til den tykkeste delen av Fresnel.
Hvis vi skal lage en kobling på 10 km og bruke 2,4 GHz-båndet, har fresnelsonen vår en radius på omtrent 17,6 meter.
Hvis vi bruker 5GHz-båndet i stedet, er radiusen omtrent 12,2 m.
Hvis vi i stedet øker avstanden til 20 km, har vi en radius på henholdsvis ca. 25 og ca. 17,3 meter.
Kanskje du har prøvd å feilsøke en WiFi-kobling, men til slutt kommet til den konklusjonen at det må være maskinvaren som ikke leverer det den lover, så er det ikke usannsynlig at Fresnel er den egentlige årsaken. Å flytte den ene siden litt opp og teste tilkoblingen igjen kan være den enkle løsningen.
Fresnel kan merkes i dagliglivet uten at vi er klar over det. La oss si at du må ringe, men har dårlig dekning, du prøver da å gå noen meter i en eller annen retning og finne et punkt der du kan ringe. Stedet du havnet på har bedre mottak og har sannsynligvis ikke bedre LOS, men får hjelp fra andre soner til å forsterke signalet. Kanskje det mest visuelle eksemplet på Fresnel er lysfenomenet som oppstår når du ser ut over en speillignende overflate av vann og refleksjonen av himmelen vises, men bare i en del av synsfeltet. Sollys er også radiobølger, om enn i en annen frekvens enn WiFi. Fotografer vet det, men vi andre kan dra nytte av denne forklarende filmen https://www.dorian-iten.com/fresnel/
Jeg pleier å tenke at jeg setter et luftskip mellom de to punktene når jeg står ved det ene punktet der man må ha en kobling for lettere å visualisere hva som er i veien og gi en indikasjon på om du trenger å sette punktet høyere. Det er imidlertid viktig å huske på at hvis punktene er satt høyt opp på lengre avstander, må du ta hensyn til jordens krumning og vinkle broen litt nedover for å oppnå den beste kvaliteten på lenken.

Selvfølgelig er du velkommen til å kontakte oss ved det minste spørsmålet du måtte ha om prosjektet ditt. Benytt deg av vår kunnskap om kommunikasjon eller innsamling av data, så får du riktig hjelp og kan ta bedre beslutninger. Vi har teknologien og erfaring fra mange installasjoner innen en rekke områder. I tillegg er vi enkle å få tak i, og vi svarer umiddelbart på chat, e-post eller telefon: +46 (0) 8 52 400 700. Og husk: Ikke gå glipp av artiklene i Kunnskapsbanken. Abonner på nyhetsbrevet!
© Copyright 2024-01-17. Innholdet er beskyttet i henhold til loven om opphavsrett.